Advertisement

Consent Letter To Conduct Research - Example Of Permission Letter Permission Letter Sample Survey Request Letter Permission Letter For Resea Letter Template Word Letter Example Resignation Letter : You are being invited to participate in a research study on motor development in infants.

Consent Letter To Conduct Research - Example Of Permission Letter Permission Letter Sample Survey Request Letter Permission Letter For Resea Letter Template Word Letter Example Resignation Letter : You are being invited to participate in a research study on motor development in infants.. Letter of introduction and informed consent form. You are being invited to participate in a research study on motor development in infants. The new york city department of education joel i. I am currently enrolled in the (specify program) at notre dame de namur university in belmont, ca, and am in the process of writing my (i.e., master's thesis). Consent letter to conduct research :

A permission letter for research is written in respect of a request letter for conducting a research program in a certain field of the interest. Before you give your consent to volunteer, it is important that you read the following information to be sure you understand what you will be asked to do. Consent form page 1 of 3 parental or guardian permission form for research involving a minor psychology department (please note that this is a sample. It is for our research study for a certain company and we are ask to make a formal letter of permission to conduct research study. This statement describes the purpose and procedures of the study.

Validation Letter For Thesis
Validation Letter For Thesis from image.slidesharecdn.com
Letter of introduction and informed consent form. Writing guide, types, +12 consent samples. A permission request letter for data collection for research is one where someone, such as a college student, is requesting data to complete research work. If conducting research with vulnerable populations and / or sensitive topics please Dear participant, i invite you to participate in a research study entitled (specify): The informed consent process is one of the central components of the ethical conduct of research with human subjects. The purpose of this letter is to inform you that i give <name of principal investigator> Alternatively, kindly submit a signed letter of permission on your institution's letterhead acknowledging your consent and permission for me to conduct this survey/study at your institution.

The form would be different in the case of focus groups or quantitative research.

The new york city department of education joel i. The informed consent process is one of the central components of the ethical conduct of research with human subjects. Your research title here if including the exact title might bias the results, use a general title instead. you are being asked to participate in a research study. ____________ (name of the professor). Template and example for informed consent when human subjects are anonymous. Before agreeing to participate in this research, we strongly encourage you to read the following explanation of this study. The new york city department of education joel i. Use this form to obtain permission from schools at which your research is conducted.> august 27, 2014. Documents similar to consent letter format for research. Your consent form need not be formatted exactly like this one as long as it includes the necessary elements set forth in the guidelines.) Consent letters to principals and teachers 6. (a) a copy of an ethical clearance certificate issued by the university (b) a copy the research instruments which i intend using in my research should you require any further information, please do not hesitate to contact me or my supervisor. The purpose of this letter is to inform you that i give <name of principal investigator> permission to conduct the research titled <title of research study> at <name of school>.

The study, as well as your rights as a participant, are described below. The consent process typically includes providing a written consent document containing the required information (i.e., elements of informed consent) and the presentation of that information to prospective participants. This is a sample consent letter to do a research. Consent form page 1 of 3 parental or guardian permission form for research involving a minor psychology department (please note that this is a sample. You are being invited to participate in a research study on motor development in infants.

Permission Letter To Conduct Survey Thesis Science
Permission Letter To Conduct Survey Thesis Science from imgv2-2-f.scribdassets.com
Before agreeing to participate in this research, we strongly encourage you to read the following explanation of this study. Letter of introduction and informed consent form. Purpose and background insert researcher's name and affiliation is conducting research on insert what the research is about in. The informed consent process is one of the central components of the ethical conduct of research with human subjects. The letter grants one to carry on his/her research program after observing the benefits of research for a wide perspective. Template and example for informed consent when human subjects are anonymous. The form would be different in the case of focus groups or quantitative research. I am currently enrolled in the (specify program) at notre dame de namur university in belmont, ca, and am in the process of writing my (i.e., master's thesis).

Request letter to conduct research business science.

A consent letter is simply a letter written to request for permission from a person or a group of people. (a) a copy of an ethical clearance certificate issued by the university (b) a copy the research instruments which i intend using in my research should you require any further information, please do not hesitate to contact me or my supervisor. If conducting research with vulnerable populations and / or sensitive topics please The form would be different in the case of focus groups or quantitative research. We invite you and your child to take part in a research study being conducted by principal investigator's name who is a professor / student at hampshire college, amherst, ma, as part of his/her name of research project . Consent letter to conduct research : The purpose of this letter is to inform you that i give <name of principal investigator> permission to conduct the research titled <title of research study> at <name of school>. Consent letters to principals and teachers 6. Letter seeking consent to conduct research at mopani district regional hospital the matron letaba hospital private bag x 1430 letaba 0870 re:application to conduct a research study i am currently studying for the masters degree in nursing (ma cur) with the university of south africa, and i am expected to conduct a research study as required for. Purpose and background insert researcher's name and affiliation is conducting research on insert what the research is about in. The consent process typically includes providing a written consent document containing the required information (i.e., elements of informed consent) and the presentation of that information to prospective participants. Helen santiago general manager unified credit cooperative The informed consent process is one of the central components of the ethical conduct of research with human subjects.

A letter asking permission to conduct study survey. Sample informed parental consent form. Alternatively, kindly submit a signed letter of permission on your institution's letterhead acknowledging your consent and permission for me to conduct this survey/study at your institution. • to develop a standing list of adults willing to be contacted to take part in these studies from. Request letter to conduct research business science.

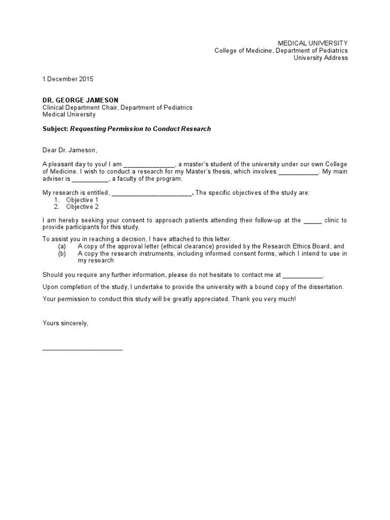
Example Letter For Permission To Conduct Research
Example Letter For Permission To Conduct Research from s3.studylib.net
All your findings and arguments should be presented in the body of the text (more specifically in the. Your research title here if including the exact title might bias the results, use a general title instead. you are being asked to participate in a research study. We invite you and your child to take part in a research study being conducted by principal investigator's name who is a professor / student at hampshire college, amherst, ma, as part of his/her name of research project . Consent letters to teachers for interviews 5. Example letter for permission to conduct research. Application for ethics approval of confidential research involving human respondents. Consent letters to principals and teachers 6. Documents similar to consent letter format for research.

Writing guide, types, +12 consent samples.

Before agreeing to participate in this research, we strongly encourage you to read the following explanation of this study. Application for ethics approval of confidential research involving human respondents. Dear participant, i invite you to participate in a research study entitled (specify): A permission letter for research is written in respect of a request letter for conducting a research program in a certain field of the interest. The consent process typically includes providing a written consent document containing the required information (i.e., elements of informed consent) and the presentation of that information to prospective participants. Your research title here if including the exact title might bias the results, use a general title instead. you are being asked to participate in a research study. The informed consent process is one of the central components of the ethical conduct of research with human subjects. If conducting research with vulnerable populations and / or sensitive topics please Writing guide, types, +12 consent samples. Letter of introduction and informed consent form. Template and example for informed consent when human subjects are anonymous. You are being invited to participate in a research study on motor development in infants. Also described is your right to withdraw from the study at any time.

A letter asking permission to conduct study survey letter to conduct research. Helen santiago general manager unified credit cooperative

Posting Komentar

0 Komentar